Профилированный лист широко применяется в современном промышленном и гражданском строительстве в качестве конструктивного элемента кровельных систем, перекрытий и ограждающих конструкций. Благодаря своей геометрии, сформированной холодной профилировкой, материал обладает высокой жёсткостью при относительно небольшом собственном весе, что делает его эффективным решением для зданий различного назначения — от складских и логистических комплексов до производственных объектов и торговых центров. Однако эксплуатационная надёжность профнастила напрямую зависит от правильности инженерных расчётов, выполняемых на стадии проектирования.
В отличие от облицовочных материалов, несущий профнастил является частью расчётной схемы здания и воспринимает значительные нагрузки — собственный вес конструкции, снеговые и ветровые воздействия, нагрузку от кровельного пирога, а в случае сталебетонных перекрытий также работает совместно с бетонной плитой. Неверная оценка нагрузок может привести к чрезмерным прогибам, локальной потере устойчивости или даже разрушению конструктивного элемента.
Расчёт нагрузки выполняется в соответствии с действующими строительными нормами и требует учёта целого ряда факторов: геометрии профиля, толщины металла, шага несущих элементов, схемы опирания и региональных климатических воздействий. Грамотно выполненный расчёт позволяет обеспечить требуемый запас прочности конструкции, избежать избыточного расхода металла и оптимизировать стоимость строительного проекта.
Профнастил, как несущий элемент конструкции
В зависимости от назначения конструкции профнастил может выполнять различные функции. В кровельных системах он служит основанием для кровельного пирога и воспринимает нагрузки от утеплителя, гидроизоляции, снегового покрова и ветрового давления. В ограждающих конструкциях профилированный лист выполняет преимущественно защитную и облицовочную роль, однако также должен выдерживать ветровые нагрузки и собственный вес. Наиболее ответственным вариантом применения является использование профиля в несущих покрытиях и сталебетонных перекрытиях, где он становится полноценным элементом силовой схемы здания.
При устройстве кровельных покрытий профнастил обычно работает как балка, опёртая на прогоны или стальные фермы. Нагрузки, действующие на поверхность кровли, передаются через профиль на опорные элементы каркаса. При этом важное значение имеют шаг прогонов, высота профиля и толщина металла, поскольку именно эти параметры определяют способность листа воспринимать изгибающий момент и ограничивать прогибы в пределах нормативных значений.
В конструкциях сталебетонных перекрытий профилированный лист выполняет двойную функцию. На этапе монтажа он служит несъёмной опалубкой для бетонной смеси и воспринимает нагрузку от свежего бетона и строительных работ. После набора прочности бетонной плитой профлист начинает работать совместно с бетоном, выполняя роль растянутой арматуры и формируя так называемую композитную сталебетонную конструкцию. Такая система позволяет значительно снизить массу перекрытия и уменьшить расход материалов без потери несущей способности.
Профнастил нельзя рассматривать только как кровельный или облицовочный материал. В большинстве промышленных и коммерческих объектов он является полноценным элементом конструктивной схемы здания. Именно поэтому при проектировании необходимо выполнять точный расчёт нагрузок и проверку несущей способности профиля с учётом всех факторов эксплуатации.
Основные виды нагрузок, действующих на профнастил
При расчёте профилированного настила как конструктивного элемента необходимо учитывать весь комплекс нагрузок, которые будут воздействовать на него в процессе эксплуатации здания. Нагрузки могут носить постоянный или временный характер и формируются как собственным весом конструкции, так и внешними климатическими и эксплуатационными факторами. Корректный сбор нагрузок является ключевым этапом расчёта, поскольку именно на основании этих данных определяется изгибающий момент, прогибы и итоговая несущая способность профилированного листа.
Постоянные нагрузки
К постоянным относятся нагрузки, которые действуют на конструкцию в течение всего срока эксплуатации здания и практически не изменяются во времени. В первую очередь это собственный вес профилированного листа, который зависит от толщины металла и геометрии профиля.
Также в расчёт включается вес всех элементов кровельной или перекрывающей системы, расположенных на листе. Для кровельных конструкций это могут быть утеплитель, гидроизоляционные мембраны, пароизоляция, стяжки и другие элементы кровельного пирога. В сталебетонных перекрытиях к постоянной нагрузке добавляется вес бетонной плиты, который является одним из наиболее значимых факторов при расчёте.
Снеговая нагрузка
Снеговая нагрузка является одной из основных временных нагрузок для кровельных конструкций. Её величина зависит от климатического района строительства, формы кровли и угла её наклона. При расчёте учитывается нормативная снеговая нагрузка региона, которая затем корректируется коэффициентами, отражающими условия накопления снега на поверхности кровли.
Важной особенностью является возможность неравномерного распределения снегового покрова. В местах примыкания кровли к более высоким зданиям, парапетам или технологическим надстройкам возможно образование снеговых мешков, значительно увеличивающих локальную нагрузку на профнастил.
Ветровая нагрузка
Ветровая нагрузка воздействует на кровельные и ограждающие конструкции в виде давления или разрежения. В отличие от снеговой нагрузки, она может создавать как прижимающее, так и вырывающее усилие.
Для профнастила особенно важно учитывать зоны повышенного ветрового воздействия — карнизные участки, края кровли и угловые зоны зданий. В этих местах ветровые нагрузки могут значительно превышать средние значения и требуют более тщательной проверки прочности профилированного листа и крепёжных элементов.
Монтажные нагрузки
Монтажные нагрузки возникают на этапе строительства и связаны с перемещением рабочих, инструментов и строительных материалов по поверхности настила. Несмотря на временный характер, эти нагрузки могут быть весьма значительными, особенно в случае укладки бетонной смеси при устройстве сталебетонных перекрытий.
При проектировании необходимо учитывать, что на стадии монтажа профнастил ещё не работает совместно с другими элементами конструкции, поэтому вся нагрузка воспринимается самим листом и его опорной системой.
Эксплуатационные нагрузки
К эксплуатационным относятся нагрузки, возникающие в процессе обслуживания здания. Это может быть перемещение обслуживающего персонала, установка инженерного оборудования на кровле, временное размещение инструментов или материалов при ремонте.
Хотя такие нагрузки обычно меньше снеговых или монтажных, их необходимо учитывать при проверке прогибов и общей жёсткости конструкции, особенно на кровлях с регулярным обслуживанием.
Таблица нагрузок, учитываемых при расчёте профнастила
При расчёте необходимо учитывать несколько видов нагрузок, каждая из которых влияет на итоговую расчётную схему. Для удобства их можно систематизировать следующим образом.
| Вид нагрузки | Источник нагрузки | Особенности учёта |
|---|---|---|
| Собственный вес | Масса профнастила | Зависит от толщины металла и геометрии профиля |
| Постоянные нагрузки | Утеплитель, мембраны, стяжки, элементы кровельного пирога | Учитываются как равномерно распределённая нагрузка |
| Снеговая нагрузка | Снеговой покров на кровле | Определяется по СП 20.13330 с учётом снегового района |
| Ветровая нагрузка | Давление и подсос ветра | Особенно важна для краевых зон кровли |
| Монтажные нагрузки | Рабочие, оборудование, бетон при устройстве перекрытий | Действуют на стадии строительства |
| Эксплуатационные нагрузки | Обслуживание кровли, размещение оборудования | Обычно меньше снеговых, но обязательны к учёту |
Систематизация нагрузок позволяет корректно сформировать расчётную нагрузку, которая далее используется для определения изгибающих моментов и проверки несущей способности профлиста.
Каждый из перечисленных видов нагрузок оказывает влияние на работу материала и должен учитываться при формировании расчётной схемы. Только полный и корректный сбор нагрузок позволяет получить достоверные результаты расчёта, определить требуемую несущую способность профиля и обеспечить надёжную и безопасную эксплуатацию конструкции на протяжении всего срока службы здания.
Нормативная база для расчёта профнастила
Расчёт профнастила как элемента строительной конструкции должен выполняться строго в рамках действующей нормативной базы. В инженерной практике профилированный лист рассматривается как тонкостенный металлический элемент, работающий на изгиб и воспринимающий распределённые нагрузки. Поэтому его расчёт опирается не на один отдельный документ, а на совокупность строительных норм и стандартов, регламентирующих определение нагрузок, расчёт металлических конструкций, а также требования к материалам и профилированным листам.
Игнорирование нормативных требований или использование упрощённых расчётных схем без опоры на действующие СП может привести к серьёзным ошибкам в определении несущей способности конструкции. Поэтому для корректного проектирования необходимо учитывать несколько ключевых нормативных документов, каждый из которых регулирует отдельную часть расчёта.
СП 20.13330 «Нагрузки и воздействия»
Одним из базовых документов для любого инженерного расчёта является СП 20.13330 «Нагрузки и воздействия». Этот свод правил устанавливает нормативные значения нагрузок, действующих на строительные конструкции, а также порядок их определения и сочетания.
В рамках расчёта данный документ используется для определения следующих параметров:
- снеговых нагрузок в зависимости от снегового района строительства
- ветровых нагрузок с учётом ветрового района и высоты здания
- временных эксплуатационных нагрузок
- коэффициентов надёжности по нагрузке
- правил сочетания различных видов нагрузок
Особое значение имеет определение нормативной и расчётной снеговой нагрузки. Значения принимаются в зависимости от региона строительства, после чего корректируются коэффициентами, учитывающими угол наклона кровли, особенности аэродинамики здания и возможное перераспределение снега.
СП 20.13330 также устанавливает правила формирования сочетаний нагрузок, что особенно важно для расчёта профнастила, так как различные воздействия могут действовать одновременно.
СП 16.13330 «Стальные конструкции»
СП 16.13330 «Стальные конструкции» является основным документом, регламентирующим расчёт металлических элементов зданий и сооружений. Поскольку профилированный настил изготавливается из тонколистовой стали и работает как изгибаемый металлический элемент, его расчёт выполняется в соответствии с требованиями данного свода правил.
Документ определяет:
- методы расчёта металлических элементов по прочности
- проверку по устойчивости
- допустимые напряжения в стали
- требования к расчёту тонкостенных элементов
- проверку по прогибам
Особое внимание уделяется расчёту элементов, работающих на изгиб. Для профнастила ключевым параметром является изгибающий момент, возникающий под действием распределённой нагрузки. На основании расчётного момента выполняется проверка прочности по модулю сопротивления сечения.
Также СП 16.13330 устанавливает требования к проверке предельных состояний, которые подразделяются на две основные группы: предельные состояния по несущей способности и предельные состояния по деформациям. Для профлиста это означает необходимость проверки не только прочности, но и допустимых прогибов.
ГОСТ и технические стандарты на профилированный лист
Помимо сводов правил, при проектировании необходимо учитывать требования государственных стандартов и технических условий на профилированный лист. Эти документы определяют геометрические параметры профиля, допуски производства, требования к материалу и защитным покрытиям.
Наиболее часто применяются стандарты, регламентирующие:
- геометрию профиля (высоту гофры, шаг профиля, рабочую ширину листа)
- толщину металла
- требования к качеству стали
- типы защитных покрытий
- допуски по отклонениям размеров
Эти параметры напрямую влияют на расчёт несущей способности, поскольку геометрия профиля определяет его момент инерции и модуль сопротивления. Даже небольшие изменения высоты профиля или толщины металла могут существенно изменить жёсткость конструкции.
Нормативы для сталебетонных перекрытий
В случае применения профнастила в сталебетонных перекрытиях дополнительно используются нормативные документы, регламентирующие расчёт композитных конструкций. В таких системах профлист работает совместно с бетонной плитой, образуя единую несущую систему.
При этом учитываются:
- прочность и класс бетона
- характеристики сцепления между бетоном и профлистом
- работа профнастила как растянутой арматуры
- стадийность работы конструкции (монтажная стадия и эксплуатационная)
На стадии монтажа профиль работает как самостоятельная конструкция, воспринимающая нагрузку от свежего бетона. После твердения бетон начинает работать совместно со стальным листом, что существенно повышает общую несущую способность перекрытия.
Нормативная база расчёта представляет собой комплекс взаимосвязанных документов, регулирующих определение нагрузок, расчёт металлических элементов и требования к самим профилированным листам. Только применение полного набора действующих норм позволяет корректно определить расчётные нагрузки, выполнить проверку несущей способности и обеспечить соответствие проектируемой конструкции требованиям безопасности и долговечности. В инженерной практике именно точное следование нормативным документам является основой надёжного и экономически обоснованного проектирования.
Геометрические и физические параметры профнастила, влияющие на несущую способность
Несущая способность определяется не только действующими нагрузками, но и характеристиками самого профилированного листа. Геометрия профиля, толщина металла и свойства стали напрямую влияют на жёсткость элемента, его устойчивость к изгибу и способность воспринимать эксплуатационные нагрузки. При проектировании важно учитывать совокупность этих параметров, поскольку даже небольшие изменения геометрии профиля могут существенно изменить расчётные характеристики конструкции.
Высота профиля
Высота гофры является одним из ключевых параметров, определяющих жёсткость профилированного листа. Чем выше профиль, тем больше момент инерции сечения и тем большую нагрузку способен воспринимать лист при одинаковой толщине металла.
Именно поэтому для несущих конструкций применяются профили с увеличенной высотой гофры. Высокопрофильные листы используются в покрытиях промышленных зданий и в сталебетонных перекрытиях, где требуется воспринимать значительные нагрузки на сравнительно больших пролётах. Повышенная высота профиля позволяет увеличить несущую способность без значительного увеличения массы конструкции.
Толщина металла
Толщина стального листа оказывает прямое влияние на прочность и устойчивость материала. Увеличение толщины металла приводит к росту модуля сопротивления сечения, что повышает способность профиля воспринимать изгибающие моменты.
При выборе толщины необходимо учитывать не только расчётную нагрузку, но и условия эксплуатации конструкции. В кровельных системах толщина металла влияет на устойчивость листа к локальным деформациям, возникающим при монтажных нагрузках, а также на устойчивость профиля к вибрациям и динамическим воздействиям.
При этом увеличение толщины металла приводит к росту массы конструкции и стоимости материала, поэтому в инженерной практике всегда стремятся найти оптимальное соотношение между прочностью и экономичностью решения.
Рабочая ширина листа
Рабочая ширина профнастила определяется геометрией профиля и системой замковых соединений между листами. Этот параметр влияет на распределение нагрузки между листами и на общую жёсткость покрытия.
При расчёте нагрузок важно учитывать, что профилированный лист работает как отдельный конструктивный элемент между опорами. Рабочая ширина используется при определении распределённой нагрузки, приходящейся на один лист, а также при расчёте расхода материала на единицу площади покрытия.
Также конструкция замковых соединений между листами может влиять на общую устойчивость покрытия и его способность воспринимать ветровые нагрузки.
Момент инерции и модуль сопротивления
Ключевыми расчётными характеристиками являются момент инерции и модуль сопротивления сечения. Эти параметры определяют способность профилированного листа сопротивляться изгибу под действием распределённых нагрузок.
Момент инерции характеризует жёсткость сечения и влияет на величину прогибов конструкции. Чем выше этот показатель, тем меньше деформации листа при одинаковой нагрузке.
Модуль сопротивления, в свою очередь, определяет способность сечения воспринимать изгибающие напряжения. Именно этот параметр используется при проверке прочности профнастила по предельным состояниям.
Значения этих характеристик определяются геометрией профиля и приводятся в технической документации производителей или в расчётных таблицах профилированных листов.
Марка стали и её прочностные характеристики
Помимо геометрии профиля, на несущую способность влияет прочность используемой стали. Основными параметрами являются предел текучести и предел прочности материала.
В строительных профилированных листах применяются конструкционные стали повышенной прочности, что позволяет обеспечить требуемую несущую способность при сравнительно небольшой толщине металла. Чем выше предел текучести стали, тем большую нагрузку способен воспринимать профиль без возникновения пластических деформаций.
При этом при расчётах необходимо учитывать нормативные значения прочности стали, а также коэффициенты надёжности по материалу, установленные действующими строительными нормами.
Таблица влияния параметров профнастила на его несущую способность
Основные параметры профилированного листа оказывают различное влияние на его жёсткость и способность воспринимать нагрузки. Их влияние можно представить в обобщённом виде.
| Параметр | Влияние на конструкцию | Практический эффект |
|---|---|---|
| Высота профиля | Увеличивает момент инерции | Позволяет перекрывать большие пролёты |
| Толщина металла | Повышает прочность сечения | Увеличивает допустимую нагрузку |
| Геометрия профиля | Влияет на распределение напряжений | Определяет устойчивость гофры |
| Момент инерции | Определяет жёсткость профиля | Снижает прогибы |
| Модуль сопротивления | Характеризует сопротивление изгибу | Определяет допустимые напряжения |
| Марка стали | Влияет на предел текучести | Повышает допустимую нагрузку без увеличения толщины |
На практике наибольшее влияние на несущую способность оказывает именно высота профиля, поскольку увеличение этого параметра значительно повышает жёсткость конструкции без существенного роста массы.
Несущая способность профнастила формируется совокупностью геометрических параметров профиля и физико-механических характеристик стали. Именно поэтому при проектировании важно рассматривать эти параметры в комплексе и подбирать профиль не только исходя из требований прочности, но и с учётом экономической эффективности и условий эксплуатации здания.
Расчётная схема работы профнастила
При расчёте профнастила принципиальное значение имеет выбор корректной расчётной схемы. Несмотря на внешнюю простоту конструкции, профилированный лист может работать по различным статическим схемам в зависимости от способа опирания, количества пролётов и конструктивного решения каркаса здания. От принятой расчётной схемы напрямую зависит величина изгибающего момента, распределение нагрузок и итоговая несущая способность элемента.
Однопролётная схема
Однопролётная схема предполагает, что настил опирается только на две опоры — например, на соседние прогоны кровельной системы. В этом случае лист работает как простая балка с шарнирным опиранием на концах пролёта.
Такая схема является наиболее консервативной с точки зрения расчёта, поскольку изгибающий момент в пролёте достигает максимальных значений. Максимальное напряжение возникает в средней части пролёта, где происходит наибольший прогиб профилированного листа.
Однопролётная схема часто используется при предварительных расчётах, а также в случаях, когда листы укладываются на раздельные опоры без обеспечения непрерывности конструкции.
Многопролётная схема
В большинстве реальных конструкций профлист работает по многопролётной схеме, когда один лист опирается сразу на несколько прогонов. При таком расположении лист формирует неразрезную систему, в которой нагрузки перераспределяются между пролётами.
Преимущество многопролётной схемы заключается в снижении максимальных изгибающих моментов в пролётах. Часть нагрузки воспринимается опорными участками, где возникают отрицательные моменты. В результате уменьшаются прогибы и повышается общая жёсткость конструкции.
Однако для корректного расчёта такой схемы необходимо учитывать условия закрепления листа на опорах, наличие крепёжных элементов и возможность перераспределения усилий между пролётами.
Неразрезная балочная система
При укладке профнастила на несколько опор с надёжным креплением листов к прогонной системе конструкция может рассматриваться как неразрезная балка. В этом случае профиль работает как единый элемент, в котором изгибающие моменты распределяются по всей длине листа.
Для неразрезной системы характерно появление отрицательных изгибающих моментов над опорами и уменьшение положительных моментов в пролётах. Это позволяет более эффективно использовать несущую способность профиля и уменьшить величину прогибов.
Однако такая схема требует аккуратного расчёта, поскольку напряжения в зоне опор могут быть достаточно высокими. Кроме того, необходимо учитывать устойчивость тонкостенных элементов профиля и надёжность крепления листа к несущим элементам каркаса.
Влияние шага прогонов
Одним из ключевых параметров, определяющих работу профлиста, является шаг прогонов — расстояние между опорными элементами, на которые укладывается лист. Именно этот параметр фактически формирует длину расчётного пролёта.
Увеличение шага прогонов приводит к росту изгибающего момента и увеличению прогибов. Поэтому при проектировании необходимо тщательно согласовывать геометрию каркаса здания и характеристики используемого профиля.
На практике выбор шага прогонов выполняется исходя из несущей способности листа, расчётных нагрузок и экономической эффективности конструкции. Правильно подобранное расстояние между опорами позволяет обеспечить необходимую жёсткость покрытия без увеличения толщины металла или высоты профиля.
Расчётная схема работы профнастила является одним из ключевых факторов, влияющих на определение его несущей способности. Однопролётные и многопролётные системы имеют принципиально разные характеристики распределения нагрузок и изгибающих моментов. Правильный выбор расчётной схемы позволяет получить достоверные результаты расчёта и обеспечить надёжную работу конструкции в течение всего срока эксплуатации здания.
Алгоритм расчёта нагрузки на профнастил
После определения расчётной схемы и сбора нормативной информации можно переходить непосредственно к инженерному расчёту. На практике расчёт выполняется поэтапно: сначала формируются исходные данные, затем определяется суммарная нагрузка, после чего выполняется проверка профиля по прочности и деформациям. Такой последовательный подход позволяет избежать ошибок и получить корректные расчётные параметры конструкции.
Определение исходных данных
Первым этапом расчёта является формирование исходных параметров конструкции. На этом этапе определяются геометрические характеристики материала, схема его опирания и основные параметры здания.
К исходным данным относятся:
- тип и геометрия профиля (высота гофры, рабочая ширина)
- толщина металла
- марка стали и предел текучести
- шаг прогонов или расстояние между опорами
- расчётная схема работы листа (однопролётная или многопролётная)
- район строительства, определяющий климатические нагрузки
Также необходимо учитывать конструкцию кровельного пирога или перекрытия, поскольку его элементы формируют значительную часть постоянной нагрузки.
Сбор нагрузок
Следующим этапом является определение всех нагрузок, действующих на профиль. Они приводятся к равномерно распределённой нагрузке, которая используется в дальнейших расчётах.
Суммарная нагрузка включает:
- собственный вес профнастила
- вес элементов кровельного пирога или бетонной плиты
- снеговую нагрузку
- ветровое воздействие
- монтажные и эксплуатационные нагрузки
После определения нормативных значений нагрузки корректируются коэффициентами надёжности и коэффициентами сочетаний, установленными строительными нормами. В результате формируется расчётная нагрузка, используемая для определения внутренних усилий.
Приведение нагрузок к расчётной схеме
На данном этапе все собранные нагрузки приводятся к нагрузке, действующей на один погонный метр листа. Это необходимо для расчёта изгибающего момента в соответствии с выбранной статической схемой.
Если нагрузка задаётся на квадратный метр покрытия, её переводят в линейную нагрузку с учётом рабочей ширины профилированного листа. Такой переход позволяет использовать классические формулы расчёта балочных элементов.
Также учитывается длина пролёта между опорами, поскольку именно этот параметр определяет величину возникающего изгибающего момента.
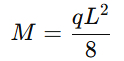
Определение изгибающего момента
После определения расчётной нагрузки вычисляется максимальный изгибающий момент. Для наиболее распространённой схемы — простой балки с равномерно распределённой нагрузкой — используется стандартная инженерная зависимость:
- M — максимальный изгибающий момент
- q — распределённая нагрузка на погонный метр
- L — расчётный пролёт между опорами
Если профнастил работает по многопролётной или неразрезной схеме, величина изгибающих моментов определяется с использованием коэффициентов распределения или расчётных таблиц.
Проверка по прочности
После определения изгибающего момента выполняется проверка настила по прочности. Для этого сравниваются возникающие напряжения с допустимыми значениями для используемой стали.
Расчётное напряжение определяется по формуле:
- σ — напряжение в сечении
- M — изгибающий момент
- W — модуль сопротивления профиля
Полученное значение напряжения не должно превышать расчётное сопротивление стали с учётом нормативных коэффициентов надёжности.
Проверка по прогибу
Помимо прочности необходимо проверять профнастил по деформациям. Чрезмерные прогибы могут привести к нарушению целостности кровельного покрытия, повреждению гидроизоляции или ухудшению эксплуатационных характеристик конструкции.
Максимальный прогиб балки при равномерной нагрузке определяется по классической зависимости:
- f — прогиб
- E — модуль упругости стали
- I — момент инерции сечения
Полученное значение прогиба сравнивается с предельно допустимыми значениями, установленными строительными нормами. В большинстве случаев для кровельных конструкций допустимый прогиб составляет величину порядка L/200 – L/250.
Алгоритм расчёта профиля включает последовательное выполнение нескольких инженерных этапов. Такой подход позволяет объективно оценить несущую способность профилированного листа и подобрать оптимальные параметры конструкции. Грамотно выполненный расчёт обеспечивает надёжность строительной системы, предотвращает избыточные деформации и позволяет оптимизировать расход материалов.
Пример инженерного расчёта профнастила
Для лучшего понимания принципов расчёта рассмотрим упрощённый пример определения нагрузки и проверки несущей способности профилированного листа, используемого в кровельной конструкции промышленного здания. Приведённый пример демонстрирует общий порядок инженерных расчётов и позволяет наглядно увидеть взаимосвязь между нагрузками, пролётом и характеристиками профиля.
Исходные параметры конструкции
Предположим, что профиль используется в качестве несущего основания кровельного покрытия. Листы укладываются на металлические прогоны и работают по однопролётной схеме.
Исходные данные для расчёта:
- тип профиля — несущий, высокого профиля
- толщина металла — 0.9 мм
- расчётный пролёт между прогонами — 3 м
- рабочая ширина листа — 1 м
- модуль сопротивления профиля — 120 см³
- момент инерции профиля — 720 см⁴
- модуль упругости стали — 2×10⁵ МПа
Кровельная система состоит из профнастила, утеплителя и гидроизоляционной мембраны. Также учитывается снеговая нагрузка в соответствии с районом строительства.
Определение нагрузок
Сначала определяются постоянные и временные нагрузки на покрытие.
Постоянные нагрузки:
- собственный вес листа — 0.09 кН/м²
- вес утеплителя и кровельных слоёв — 0.25 кН/м²
Итого постоянная нагрузка:
Снеговая нагрузка для выбранного района принимается равной:
Суммарная нормативная нагрузка:
С учётом коэффициентов надёжности формируется расчётная нагрузка. Для упрощения примера примем её равной:
Так как расчёт выполняется на один метр ширины профнастила, линейная нагрузка составит:
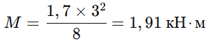
Расчёт изгибающего момента
Для балки с равномерно распределённой нагрузкой максимальный изгибающий момент определяется по формуле:
Подставим значения:
Максимальный изгибающий момент в середине пролёта составляет 1.91 кН·м.
Проверка несущей способности
Теперь проверим напряжение в сечении профлиста. Для этого используем модуль сопротивления профиля.
Предварительно переведём момент в Н·мм.
Модуль сопротивления:
Тогда напряжение составит:
Полученное значение значительно ниже предела текучести конструкционной стали, что подтверждает достаточную прочность профиля при заданных условиях.
Проверка прогиба
Далее необходимо проверить конструкцию по прогибу. Для балки с равномерной нагрузкой используется зависимость:
После подстановки параметров получаем расчётный прогиб порядка 8-10 миллиметров.
Предельно допустимый прогиб для пролёта в 3 метра составляет примерно:
Следовательно, фактический прогиб находится в допустимых пределах.
Анализ результатов
Проведённый расчёт показывает, что выбранный профилированный лист способен воспринимать заданные нагрузки при пролёте 3 метра без превышения допустимых напряжений и прогибов. Это означает, что выбранная схема конструкции является работоспособной.
Следует учитывать, что в реальной инженерной практике расчёт выполняется с более точным учётом коэффициентов надёжности, комбинаций нагрузок, а также особенностей работы профнастила в многопролётных системах. Дополнительно проверяется устойчивость элементов профиля и надёжность крепления листов к несущим конструкциям.
Типовые ошибки при расчёте нагрузок на профнастил
Даже при наличии нормативной базы и расчётных методик ошибки при проектировании профилированного настила встречаются достаточно часто. В большинстве случаев они связаны не с самим материалом, а с некорректным определением нагрузок, упрощёнными расчётными схемами или неправильным выбором параметров конструкции. Подобные ошибки могут привести к чрезмерным прогибам покрытия, локальным деформациям профиля или снижению общей надёжности строительной системы.
Ниже приведены наиболее распространённые ошибки, которые встречаются в практике проектирования и монтажа.
- Игнорирование монтажных нагрузок. На стадии строительства материал часто воспринимает нагрузки, которые могут быть выше эксплуатационных. Особенно это актуально для сталебетонных перекрытий, где лист должен выдерживать вес свежего бетона, арматуры и перемещение рабочих. Если эти нагрузки не учтены при расчёте, возможна деформация профиля ещё до ввода здания в эксплуатацию.
- Неверное определение снеговой нагрузки. Ошибки часто возникают при определении снегового района или при игнорировании коэффициентов, учитывающих угол наклона кровли. Также нередко не учитываются локальные накопления снега возле парапетов, фонарей и более высоких частей здания. В результате фактическая нагрузка может значительно превышать расчётную.
- Неправильный выбор пролёта между прогонами. Одной из наиболее распространённых ошибок является увеличение шага прогонов без соответствующего изменения характеристик профиля. При увеличении пролёта резко возрастает изгибающий момент и прогиб листа, что может привести к потере жёсткости конструкции.
- Недооценка прогибов. Иногда при расчёте основное внимание уделяется только проверке прочности, в то время как деформации остаются без должного анализа. Однако для кровельных систем прогибы часто являются определяющим фактором. Чрезмерные деформации могут привести к повреждению кровельного покрытия, накоплению воды и нарушению герметичности конструкции.
- Игнорирование реальной схемы работы. В некоторых случаях при расчётах принимается однопролётная схема, хотя фактически профнастил работает как многопролётная система. В других ситуациях происходит обратное — расчёт выполняется как для неразрезной балки, но фактические условия крепления не обеспечивают такой работы конструкции.
- Недостаточное внимание к характеристикам профиля. Иногда материал выбирается только по высоте профиля без анализа его геометрических характеристик — момента инерции и модуля сопротивления. Между тем разные профили одинаковой высоты могут иметь существенно различную несущую способность.
Большинство ошибок при расчёте профнастила связано с упрощённым подходом к определению нагрузок и выбору конструктивных параметров. Чтобы избежать подобных проблем, необходимо строго соблюдать требования нормативных документов, корректно определять расчётную схему и учитывать реальные условия эксплуатации конструкции. Комплексный инженерный подход на стадии проектирования позволяет обеспечить надёжность профиля и предотвратить возможные дефекты в процессе эксплуатации здания.
Практические рекомендации инженера при проектировании
Даже при наличии точных расчётных методик важную роль играет практический опыт проектирования конструкций с применением профнастила. В реальных условиях на несущую способность покрытия влияют не только нормативные нагрузки и геометрические параметры профиля, но и особенности компоновки здания, условия монтажа, а также требования к долговечности и экономической эффективности конструкции. Поэтому при проектировании важно учитывать ряд инженерных рекомендаций, позволяющих повысить надёжность системы и оптимизировать её стоимость.
Правильный выбор профиля
Первым этапом проектирования является выбор типа профилированного листа. Для конструкций, где профлист выполняет несущую функцию, необходимо использовать профили с увеличенной высотой гофры и достаточной жёсткостью сечения.
Высота профиля напрямую влияет на момент инерции и модуль сопротивления, поэтому применение более высокого профиля часто позволяет увеличить допустимый пролёт между опорами. Это особенно важно для промышленных и складских зданий, где требуется перекрывать значительные расстояния между прогонами.
При выборе профиля следует учитывать не только высоту гофры, но и форму профиля, ширину опорных полок и наличие дополнительных ребер жёсткости.
Оптимизация толщины металла
Толщина стального листа является одним из ключевых факторов, определяющих прочность профиля. Однако увеличение толщины металла не всегда является оптимальным решением с точки зрения экономики проекта.
В инженерной практике часто более эффективно увеличить высоту профиля или уменьшить шаг прогонов, чем применять более толстый металл. Такой подход позволяет снизить общий расход стали и уменьшить нагрузку на несущий каркас здания.
При этом важно учитывать условия монтажа и эксплуатации. Слишком тонкий лист может быть подвержен локальным деформациям при перемещении рабочих или при укладке элементов кровельного пирога.
Выбор шага прогонов
Шаг прогонов является одним из наиболее важных параметров, влияющих на работу материала. Увеличение расстояния между опорами приводит к росту изгибающего момента и прогибов, поэтому этот параметр должен определяться на основании расчёта.
При проектировании рекомендуется стремиться к согласованию характеристик профиля и геометрии каркаса здания. Оптимальный шаг прогонов позволяет эффективно использовать несущую способность профнастила и избежать необходимости применения более дорогих профилей или увеличения толщины металла.
Также важно учитывать технологические особенности монтажа. Слишком большой шаг прогонов может усложнить установку листов и повысить риск деформаций в процессе строительства.
На практике выбор профиля часто начинается с определения допустимого пролёта между прогонами. Ниже приведены ориентировочные значения, используемые при предварительном проектировании.
| Высота профиля, мм | Толщина металла, мм | Рекомендуемый пролёт, м |
|---|---|---|
| 60 | 0.7-0.9 | до 2.5-3.0 |
| 75 | 0.8-1.0 | до 3.0-3.5 |
| 90 | 0.8-1.0 | до 3.5-4.0 |
| 114 | 0.9-1.2 | до 4.0-4.5 |
| 135-157 | 1.0-1.2 | до 5.0-6.0 |
Следует учитывать, что приведённые значения являются ориентировочными и используются только для предварительного подбора профиля. Окончательное решение должно приниматься на основании полного инженерного расчёта с учётом всех нормативных нагрузок и особенностей конструкции.
Проверка расчётов на стадии проектирования
Даже после выполнения расчёта рекомендуется проводить дополнительную проверку выбранного решения. Это может включать сравнение полученных параметров с расчётными таблицами производителей профлиста или анализ аналогичных реализованных объектов.
Особое внимание следует уделять проверке прогибов, поскольку именно этот параметр часто становится ограничивающим фактором при выборе профиля. В некоторых случаях конструкция может удовлетворять требованиям прочности, но не соответствовать нормативным требованиям по деформациям.
Также важно учитывать особенности эксплуатации объекта: возможные дополнительные нагрузки на кровлю, установку инженерного оборудования, а также климатические условия региона строительства.
Практический опыт проектирования показывает, что надёжность конструкций с применением профнастила определяется не только правильностью расчётов, но и грамотным выбором конструктивных решений. Комплексный инженерный подход на стадии проектирования значительно снижает риск возникновения эксплуатационных проблем и обеспечивает долговечность строительной системы.
Расчёт нагрузки на профлист является важным этапом проектирования кровельных и перекрывающих конструкций. Несмотря на кажущуюся простоту материала, профилированный лист в большинстве случаев выполняет полноценную конструктивную функцию и работает как элемент несущей системы здания. Именно поэтому корректный расчёт должен учитывать совокупность факторов: нормативные нагрузки, геометрические параметры профиля, толщину металла, расчётную схему работы листа и условия его опирания.
Практика проектирования показывает, что надёжность конструкций с применением профилированного настила напрямую зависит от качества инженерных решений на стадии разработки проекта. Грамотно выполненный сбор нагрузок, проверка прочности и прогибов, а также правильный выбор профиля позволяют обеспечить требуемый запас прочности и долговечность конструкции. При этом оптимизация параметров профиля и шага несущих элементов даёт возможность не только повысить безопасность объекта, но и добиться экономически эффективного использования материалов.




